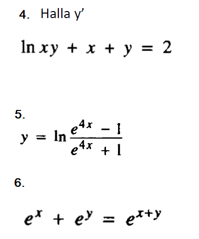
Resolver los siguientes ejercicios calculo
Realizar lo solicitado en las imágenes...


2 Respuestas
Respuesta
1
Respuesta de Valero Angel Serrano Mercadal
1
