Preguntas esperando respuesta
Actividad pública reciente
Ha preguntado en el tema en
Matemáticas
¿Que tipo de grafos son...?
En cada uno de los siguientes incisos obtener el complemento del grafo en caso de ser un grafo simple, en caso contrario explicar por que no es grafo simple.
Sin respuestas
Ha preguntado en el tema en
Matemáticas
y en 1 temas más
Resolver ejercicios usando la lógica proposicional
Sin respuestas
Ha preguntado en el tema en
Matemáticas
y en 2 temas más
Representar en forma de teorema
Sin respuestas
Ha preguntado en el tema en
Matemáticas
y en 2 temas más
Solucionar usando las reglas de inferencia
Se va a llevar a cabo una encuesta en un lugar donde hay personas de 2 ejidos, el ejido Siempre Miento y el ejido Hablo con la Verdad. Y se desea saber que personas son de un ejido y cuales son del otro. Sin embargo, el problema se presenta con que...
Sin respuestas
Ha empezado a seguir el tema Ingeniería Informática
Ha valorado "Excelente" la respuesta
Como se resuelven las siguientes divisiones binarias
Ha valorado "Excelente" la respuesta
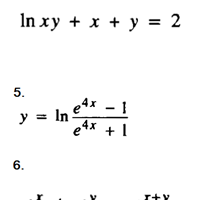
Como encontrar la derivada ejercicios 4-6
Ha valorado "Excelente" la respuesta
Resolver las siguientes funciones calculo
Ha valorado "Excelente" la respuesta
Hallar la derivada para los siguientes ejercicios
Ha valorado "Excelente" la respuesta
