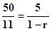
En una progresión geométrica el primer término es 5. ¿Cuál debe ser la razón para que la suma de términos sea 50/11?
En una progresión geométrica el primer término es 5. ¿Cuál debe ser la razón para que la suma de términos sea 50/11?
2 respuestas
Respuesta de Valero Angel Serrano Mercadal
2
Respuesta de Luis Alberto Candio Salcedo
1


