Resolver los ejercicios propuestos usando la técnica de integración más adecuada.

Solucion correcta para el ejercicio propuesto usando la técnica de integración más adecuada.

1 respuesta

Respuesta
1

·

·

¡Hola Camila!

La podemos hacer por cambio de variable

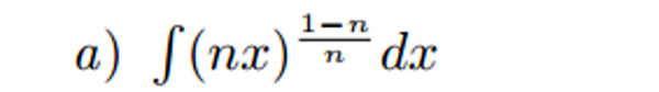
$$\begin{align}&\int(nx)^{\frac{1-n}{n}}dx= \\&\\&t=nx\\&dt=ndx\implies dx = \frac 1ndt\\&\\&=\int t^{\frac{1-n}{n}}·\frac 1ndt = \frac 1n\int  t^{\frac{1-n}{n}}dt=\\&\\&\frac 1n·\frac{t^{\frac {1-n}{n}+1}}{\frac{1-n}{n}+1}+C=\\&\\&\frac 1n ·\frac{t^{\frac{1-n+n}{n}}}{\frac{1-n+n}{n}}+C=\\&\\&\frac 1n·\frac{t^{\frac 1n}}{\frac 1n}+C=\\&\\&\frac 1n·{nt^{\frac 1n}}+C =\\&\\&t^{\frac 1n}+C= (nx)^{\frac 1n}+C\end{align}$$

O poniendo el integrando de otra forma, que aunque pudiera parecer lo mejor no lo es tanto en la práctica.

$$\begin{align}&\int(nx)^{\frac{1-n}{n}}dx= \\&\\&\int n^{\frac{1-n}{n}}· x^{\frac{1-n}{n}}dx=\\&\\&n^{\frac{1-n}{n}}\int  x^{\frac{1-n}{n}}dx=\\&\\&n^{\frac{1-n}{n}}· \frac{x^{\frac{1-n}{n}+1}}{\frac{1-n}{n}+1}+C=\\&\\&n^{\frac{1-n}{n}}· \frac{x^{\frac{1-n+n}{n}}}{\frac{1-n+n}{n}}+C=\\&\\&n^{\frac{1-n}{n}} ·\frac{x^{\frac 1n}}{\frac 1n}+C\\&\\&n^{\frac {1-n}{n}}·nx^{\frac 1n}+C=\\&\\&n^{\frac {1-n}{n}+1}·x^{\frac 1n}+C=\\&\\&n^{\frac 1n}x^{\frac 1n}+C\\&\\&\text{que es lo mismo que antes}\\&\end{align}$$

Y eso es todo, saludos.

.

:

Gracias por sus respuestas, me fue super con estas dos respuestas, me puede hacer el favor de ayudarme con estos dos ejercicios.

Debes mandarlas en otras preguntas, una integral por pregunta.

Saludos.

:

:

Añade tu respuesta

Haz clic para o

Más respuestas relacionadas