¿Cómo resuelvo los siguientes ejercicios del Cálculos integral?
Cada ejercicio se debe resolver paso por paso, sin omitir ninguno, cuando se utilice una propiedad, definición o ley por favor enunciarla.
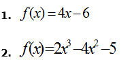
Encontrar la familia de antiderivadas de la función dada:

1 respuesta
Respuesta de Lucas m
1