¿Como resuelvo estas ecuaciones diferenciales paso a paso?

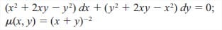
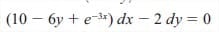
Como resuelvo estas dos ecuaciones diferenciales, en la primera debo hallar el factor integrante, en la segunda ya me dan el factor integrante.

1 Respuesta

Respuesta
1

·

·

¡Hola Hernán!

Me parece que ya resolvimos estas ecuaciones aquí: Ecuaciones diferenciales

Pero no dejes de votar aquí. Estos ejercicios merecen varias votaciones.

Saludos.

:

:

Añade tu respuesta

Haz clic para o

Más respuestas relacionadas