Duda sobre instalación provisional. Mangueras sin entubar.
Dos preguntas, la primera: se puede montar una instalación provisional (para tres días máximo), con mangueras de 3x1.5, 3x2.5 etc, ¿en qué parte de la instalación va ir sobre superficie metálica?, ¿Puede ser peligroso si no se entuba la manguera?. Repito, es provisional y hay poco consumo.
Segunda pregunta: ¿A qué se refieren exactamente cuando se dice que un alargo al no estar desenrollado crea bobina?.
Respuesta de agroelectric Spain
1
1 respuesta más de otro experto
Respuesta de David Tupak
1



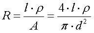
Si no es molestia, ¿ podrías indicar a que corresponde el 4 que aparece en la 2ª parte de la fórmula ? - An pas
Y otra mas, el diámetro nominal en cable rígido esta claro, pero en el flexible donde hay múltiples " hilillos " ¿ como se tiene en cuenta ?. No se si me explico, pero el contar todos los hilos y sumar los diámetros me parece una pu.......ñalada. Aunque no se en que casos sea necesario ser tan " fino " en los cálculos - An pas