Como se hace este ejercicio de matrices?
¿Cómo se hace este ejercicio?:
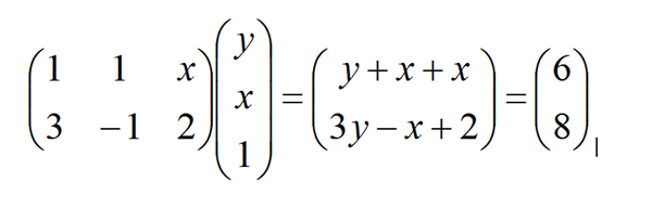
Si A = |1 1 x|
|3 -1 2|
Y si B es = |y|
|x|
|1|
Si AB= |6|
|8|
Determine x, y.
PD: A, B y AB son matrices
1 Respuesta
Respuesta de Lucas m
1
