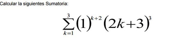
Calcular la sumatoria curso de álgebra

Agradezco la ayuda en este ejercicio de sumatoria de geometri
1 respuesta
Respuesta
1

Agradezco la ayuda en este ejercicio de sumatoria de geometri