Pueden resoler ejercicios de derivadas
Ejecercicio
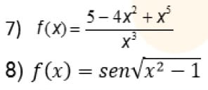
Aplicando las reglas de la derivación calcular las siguientes derivadas:

2 respuestas
Respuesta de Nelsy orozco duque
1
Respuesta de Valero Angel Serrano Mercadal
1