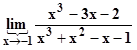
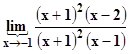
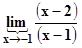
Calcula los siguientes límites del ejercicio

Cómo podría realizar el siguiente ejercicio.
4 respuestas
Respuesta de Luis Alberto Candio Salcedo
4
Respuesta de javiabelo abelo
3
Respuesta de Valero Angel Serrano Mercadal
3
Respuesta de Jorge Herrera



Ya tenemos al fantasma de nuevo, ahora ni siquiera pone vídeos, se conforma con asentir con la cabeza, ley del mínimo esfuerzo y si cae algo bienvenido sea. - Valero Angel Serrano Mercadal