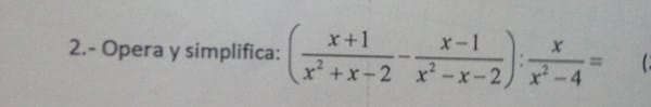
Simplfica y opera el siguiente ejercicio

Duda sobre el siguiente ejercicio el cual debes operar y simplificar.
3 respuestas
Respuesta de Lucas m
1
Respuesta de Jorge Herrera
1
Respuesta de Valero Angel Serrano Mercadal
1
Una vergüenza que el tipejo este de Herrera se lleve puntos por lo que hace. - Valero Angel Serrano Mercadal