Operaciones entre funciones álgebra lineal

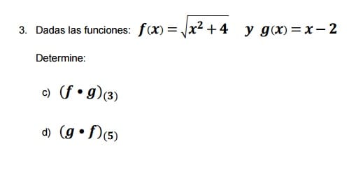
Buenas tardes es la continuidad del punto anterior gracias por su ayuda si pueden describir los pasos
2 respuestas
Respuesta de Lucas m
1
Respuesta de Valero Angel Serrano Mercadal
1