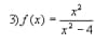
Encontrar intervalos donde f es creciente, decreciente, ¿Los puntos críticos y elaborar gráfica?
![]()
Una disculpa envíe instrucciones equivocadas anteriormente.
Respuesta de Valero Angel Serrano Mercadal
1
1 respuesta más de otro experto
Respuesta de Lucas m
1
