Una cuerda ligera puede sostener una carga fija colgante de 25.0 kg antes de romperse. Un objeto de 3.00 kg unido a la cuerd

Una cuerda ligera puede sostener una carga fija colgante de 25.0 kg antes de romperse. Un objeto de 3.00 kg unido a la cuerda está girando sobre una mesa horizontal sin fricción en un círculo de 0.600 m de radio, y el otro extremo de la cuerda se mantiene fijo sobre la superficie de la mesa. ¿Cuál es la máxima frecuencia que puede tener este M.C.U. Si la cuerda no ha de romperse?

Buenashe revisado su pagina y me parece exelente, quisiera si me podrian colaborar muy amablemente con estos ejercicios

1.

Una cuerda ligera puede sostener una carga fija colgante de 25.0 kg antes de romperse. Un objeto de 3.00 kg unido a la cuerda está girando sobre una mesa horizontal sin fricción en un círculo de 0.600 m de radio, y el otro extremo de la cuerda se mantiene fijo sobre la superficie de la mesa. ¿Cuál es la máxima frecuencia que puede tener este M.C.U. Si la cuerda no ha de romperse?

2.

Un arquitecto que diseña jardines programa una cascada artificial en un parque de la ciudad. El agua fluirá a 2.00 m/s y dejará el extremo de un canal horizontal en lo alto de una pared vertical de 5.00 m de altura, y desde ahí caerá en una piscina. En el espacio por debajo de la cascada se desea construir un pasillo para peatones. ¿Cuál debe ser el ancho máximo del pasillo para que justo pase sin mojarse una persona de 1.80 m de altura?

3.

Dados los vectores  ? ⃗ = 8.00?̂ + 5.00?̂  y  ? ⃗⃗ = −3.00?̂ + 4.00?̂ , efectúe cada una de las siguientes operaciones, tanto en forma gráfica como analítica: (a) 2.50? ⃗⃗  (b) ? ⃗ − ? ⃗⃗   (c) ? ⃗ + 2.00? ⃗⃗   (d) −0.500? ⃗ + 1.50? ⃗⃗  

2 Respuestas

Respuesta

--

Te responderé un problema hermano, así funciona este foro (un problema por cada pregunta)

Una cuerda ligera puede sostener una carga fija colgante de 25.0 kg antes de romperse. Un objeto de 3.00 kg unido a la cuerda está girando sobre una mesa horizontal sin fricción en un círculo de 0.600 m de radio, y el otro extremo de la cuerda se mantiene fijo sobre la superficie de la mesa. ¿Cuál es la máxima frecuencia que puede tener este M.C.U. Si la cuerda no ha de romperse?

Procedimiento:

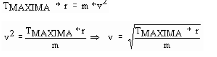
TENSIÓN MÁXIMA = m * g = 25 kg * 9,8 m/seg2 = 245 Newton.

Con la tensión máxima que soporta la cuerda antes de romperse, se calcula la máxima velocidad que puede girar la masa de 3 kg antes de romper la cuerda.

Despejando v:

Solo reemplazas:
$$\begin{align}&v=\sqrt{\displaystyle\frac{245 N * 0.600m}{3 Kg}}\end{align}$$

Resultado:

7 m/seg

La velocidad de la masa de 3 kg, no puede alcanzar la velocidad de 7 m/seg por que se rompe la cuerda.

Saludos!

________________________

-

Realiza más preguntas para que responda los problemas restantes.

-

Respuesta

Te respondo el punto 2) porque es como te han dicho mas arriba... un tema por consulta.

Un arquitecto que diseña jardines programa una cascada artificial en un parque de la ciudad. El agua fluirá a 2.00 m/s y dejará el extremo de un canal horizontal en lo alto de una pared vertical de 5.00 m de altura, y desde ahí caerá en una piscina. En el espacio por debajo de la cascada se desea construir un pasillo para peatones. ¿Cuál debe ser el ancho máximo del pasillo para que justo pase sin mojarse una persona de 1.80 m de altura?

Si la persona esta parada... el chorro de agua

Es un caso de tiro parabolico con velocidad inicial horizontal = 2 m/seg. que se arroja desde 5 metros de altura. Para el planteo tenes que considerar que el agua como maximo le mojaria la cabeza. O sea Analizas el tiro desde una altura de 1.80 m del piso. La velocidad de llegada ( Vf) del agua a esa altura te sale de:

Vfx= 2 m/seg.         Vfy = -g ( delta t)  ...............y  3.20 m = 1/2 x 10 m/seg^2 x( delta t)^2

de aqui( delta t) ^2 = 3.20 x 2 / 10 = 0.64 seg. ........(.delta t) = 0.80 seg. ....luego Vfy= -10 x 0.80 =  - 8 m/seg. ( hacia abajo).

Luego utilizando la formula del alcance horizontal de un tiro parabolico de estas caracteristicas:

X = alcance horizontal = 1/2 ( Vf^2)/g) sen 2 alfa 

1/2 porque se trata de medio recorrido........ Vf^2 = V (4 + 64) = 8.246 m/seg. .....alfa = arc tg (-8/2) = arc. tg. (-4) =  - 76°

Aplicas esto y llegas a X = (8,246 m / 20 m/seg^2) x sen 152° = 1.60 m aprox.

Añade tu respuesta

Haz clic para o

Más respuestas relacionadas