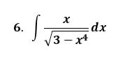
Dar respuesta a la siguiente integral con radical denominador

Buenas tardes continuo con mi taller gracias por sus acertadas respuestas
2 respuestas
Respuesta de Lucas m
1
Respuesta de Valero Angel Serrano Mercadal
1
