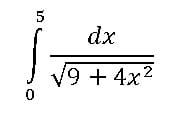
Calculo Integral, como se resuelve la operación de la imagen de integral definida.

Como se resuelve esta operación de la imagen de integral definida.

2 Respuestas

Respuesta
1

·

·

¡Hola Fernando!

Ya has visto la forma de hacerlo con cambio trigonométrico. Y como yo nunca estudie que la integral de sec(t) fuera inmediata es mucho más complicado de lo que aparece ahí, porque esa integral no es nada fácil.

Si has estudiado las funciones hiperbólicas hay un método más sencillo.

Fíjate en la wikipedia donde aparece la derivada del arg sinh(x)

https://es.wikipedia.org/wiki/Funci%C3%B3n_hiperb%C3%B3lica#Inversas_de_las_funciones_hiperb.C3.B3licas_y_derivadas 

------------------------------

·

Y con eso es pan comido.

$$\begin{align}&\int_0^5 \frac{dx}{\sqrt{9+4x^2}}=\\&\\&x= \frac 32t\implies t=\frac 23 x\\&dx=\frac 32 dt\\&\\&x=0\implies t=0\\&x=5\implies t=\frac {10}3\\&\\&=\frac 32\int_0^{\frac {10}3}\frac{dt}{\sqrt{9+9t^2}}=\\&\\&\frac 12\int_0^{\frac {10}3}\frac{dt}{\sqrt{1+t^2}}=\\&\\&\frac 12 arg\,sinh(t)\bigg|_0^{\frac {10}3}=\frac 12arg\,sinh\left(\frac{10}3  \right)\\&\\&\text{Esto si quieres lo puedes calcular con calculadora}\\&\\&\approx 0.959448236\\&\\&\text{O puedes sustituir por la función equivalente}\\&\\&arg\,sinh(x) = ln(x+\sqrt{x^2+1})\\&\\&I=\frac 12ln\left(\frac {10}3+\sqrt{\frac{100}{9}+1}  \right)\approx0.959448236\end{align}$$

Y eso es todo, este es un método alternativo solo si ya has dado las funciones hiperbólicas, sino tendrás que usar el método de Lucas y rezar porque te admitan como válida la integral directa de la secante de x.

Saludos.

:

:

Respuesta

;)

;)

Hola Fernando!

Es una integral irracional que se hace con un cambio de variable x=3/2(tan t)

Acaba saliendo la integral de la secante que la daré como inmediata (Tablas de integrales)

Sino otro experto te linkará esta integral o té indicará como hacerla.

$$\begin{align}&x=\frac{3}{2}tant\\&\\&dx=\frac{3}{2}sec^2t ·dt\\&\\&\int \frac{dx}{\sqrt{9+4x^2}}= \frac{3}{2}\int \frac { sec^2 t}{\sqrt{9+\frac{9·4}{4} tan^2 t}}dt=\\&\\&\frac{3}{2} \int \frac {sec^2 t}{3 \sqrt {1+ tan^2 t}}=\frac{1}{2} \int \frac{sec^2 t}{ \sqrt {sec^2 t}} dt=\\&\\&=\frac{1}{2} \int sect dt= TABLA \ INTEGRALES\\&\\&=\frac{1}{2} ln \Big (tant + sec t \Big)= sustituyendo\\&\\&x=\frac{3}{2}tant \Rightarrow tant= \frac{2}{3}x \Longrightarrow sec t=1+tan^2 t=1+\frac{4}{9}x^2\\&\\&=\frac{1}{2} ln \Bigg(\frac{2}{3}x + \sqrt {1 + \frac{4}{9} x^2 } \Bigg)\\&\\&\\&\frac{1}{2} ln \Bigg(\frac{2}{3}x + \sqrt {1 + \frac{4}{9} x^2 } \Bigg)  \Bigg] _0^5=\\&\\&\frac{1}{2}ln \Bigg (\frac{10}{3}+\sqrt {\frac{109}{9}} \Bigg )-\frac{1}{2}ln1=\\&\\&=\frac{1}{2} ln \Bigg (\frac{10+ \sqrt {109}}{3} \Bigg)\simeq0.95945...\\&\end{align}$$

Saludos

;)

;)

;) 

$$\begin{align}&\sec t=\sqrt {1 +tan^2 t}\end{align}$$

;)

Añade tu respuesta

Haz clic para o

Más respuestas relacionadas