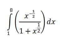
Calculo Integral. Resolver la función que se muestra en la imagen de integral definida.

Resolver la función que se muestra en la imagen de integral definida.
2 Respuestas
Respuesta de Lucas m
1
Respuesta de Valero Angel Serrano Mercadal
1