Descomposición de fracciones parciales en calculo integral

Valúa cada una de las siguientes integrales usando el método de descomposición de fracciones parciales

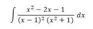
Realiza el siguiente problema de calculo integral.

1 respuesta

Respuesta
1

·

·

¡Hola Ana!

Para las raíces reales repetidas se ponen tantas veces cada vez elevadas a un exponente mayor. Y para un polinomio de grado dos irreducible se pone en el numerador uno de grado uno.

$$\begin{align}&\frac{x^2-2x-1}{(x-1)^2(x^2+1)}=\frac{a}{x-1}+\frac {b}{(x-1)^2}+\frac{cx+d}{x^2 +1}=\\&\\&\frac{a(x-1)(x^2+1)+b(x^2+1)+(cx+d)(x-1)^2}{(x-1)^2(x^2+1)}=\\&\\&\frac{ax^3-ax^2+ax-a+bx^2+b+cx^3-2cx^2+dx^2+cx -2dx+d}{(x-1)^2(x^2+1)}=\\&\\&a+c=0\\&-a+b-2c+d=1\\&a+c-2d=-2\\&-a+b+d=-1\\&\\&\text{Resto primera  a la tercera }\\&-2d=-2\implies d=1\\&\text {Quedan estas tres}\\&a+c=0\\&-a+b-2c=0\\&-a+b=-2\\&\text{Resto tercera a segunda}\\&-2c=2\implies c=-1\\&\text{En la primera se deduce}\\&a=1\\&\text{Y en la tercera}\\&b=-1\\&\\&I=\int \frac{dx}{x-1}-\int \frac{dx}{(x-1)^2}+\int \frac{-x+1}{x^2+1}dx=\\&\\&ln|x-1|+\frac {1}{x-1}-\int \frac{x}{x^2+1}dx+\int \frac{dx}{x^2+1}=\\&\\&ln|x-1|+\frac {1}{x-1} -\frac 12ln(x²+1)+arctg \,x+C\end{align}$$

:

:

Añade tu respuesta

Haz clic para o

Más respuestas relacionadas