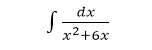
Resolver la siguiente integral planteada en la imagen de bajo

Realizar la siguiente integral describiendo el procedimiento para resolverla

1 respuesta

Respuesta
1

·

·

¡Hola Ana!

Esta es más complicada que las que he hecho antes. Hay que descomponerla en fracciones simples que se pueden integrar

$$\begin{align}&\text{La descomposiciónen factores del denominador es}\\&\\&x(x+6)\\&\\&\text{Son dos raices 0 y -6 reales y distintas, las fracciones}\\&\text{simples que le corresponden son}\\&\\&\frac{1}{x^2+6x}=\frac{a}{x}+\frac{b}{x+6}=\frac{ax+6a+bx}{x^2+6x}\\&\\&\text{Los numeradores inicial y final deben ser iguales}\\&\\&1= (a+b)x+6a\\&luego\\&a+b=0 \implies b=-a\\&1=6a \implies a=\frac 16\implies b=-\frac 16\\&\\&\text{Con lo cual la integral es}\\&\\&\int \frac{dx}{x^2+6x}= \int \frac{\frac 16}{x}dx- \int \frac{\frac 16}{x+6}dx=\\&\\&\frac 16ln |x| - \frac 16ln|x+6|+C=\\&\\&\text{Y hay quie le gusta simplificarlo y dejar un solo}\\&\text{logaritmo, a mi no me gusta}\\&\\&ln\left(\frac{x}{x+6}  \right)^{\frac 16}+C\end{align}$$

:

:

Añade tu respuesta

Haz clic para o

Más respuestas relacionadas