¿Cómo resolver este problema partiendo de la ecuación de Bernoulli?
1. Resuelve el siguiente problema. Desarrolla el procedimiento e incorpora la solución.
A un tinaco de 2.35 m de alto se le hace un pequeño agujero debido al tiempo y la corrosión, este agujero se encuentra justo en la base del tinaco. Deduce la fórmula para calcular la velocidad con que saldrá el chorro de agua por el agujero y calcula.
Desarrollo:
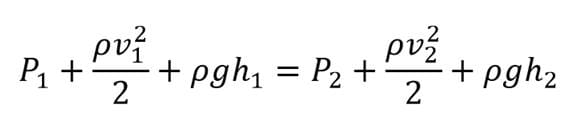
Partiendo de la ecuación de Bernoulli, toma en cuenta las consideraciones indicadas, realiza las sustituciones en la ecuación y escribe la expresión que resulta:
http://148.247.220.197/pluginfile.php/7764/mod_assign/intro/form.PNG
La velocidad en el punto más alto es insignificante comparada con la velocidad del chorro,
es decir: pv
/ 2 = 0, entonces la expresión queda:
La presión en ambos puntos es aproximadamente la misma, es decir: P1=P2 o P1-P2 = 0, entonces la expresión resultante es:
De la expresión anterior considera que la altura en el punto más bajo es cero por lo que ρgh2 = 0, entonces la expresión simplificada queda como:
Despejando la velocidad de esta última expresión, la velocidad la podemos calcular con la fórmula:
a) v2=(2gh1)2
b) v2=![]()
c) v2=2gh1
Sustituye el valor de la altura del tinaco y calcula la velocidad con la que el agua sale por el agujero:
v=

Hola de hecho o hay ningún gráfico son solo las preguntas no se porque salio el linck - marcos vidal
Si hay Mayra es una ecuación que pusieron, solo que no se como insertarla en este comentario - elsa jaimes
si muchas gracias no supe como subirlo pero ya vi la respuesta gracias y saludos - marcos vidal
El planteamiento de ecuaciones me quedaron muy claras, solo que al realizar el calculo no me queda claro como se obtuvo la cantidad de 9.8 - Anonima Lopez
9.8 es g la constante de la fuerza de gravedad en las inmediaciones de la superficie terrestre 9.8m/s^2 tienes que conocerla de sobra. - Valero Angel Serrano Mercadal
Gracias, si ayer ya con más calma me di cuenta... excelente ayuda, gracias. - Anonima Lopez
Hola, una pregunta, ¿la constante de la fuerza de gravedad no es 9.81 m/s^2?Saludos. - lf hp
Si, 9.81 m/s^2 es más exacta, pero en el colego usábamos 9.8, incluso algún profesor nos decía de usar 10, eso ya no me parece bien. - Valero Angel Serrano Mercadal
Hola Don Valero, me explica de donde sale el 6.78675m/sSaludos - elsa jaimes
Ya no, ya saque mis conclusiones, Gracias =) - elsa jaimes
creo que el planteamiento de la pregunta esta incorrecto o incompleto ya que se supone son 4 preguntas en el texto original pero por alguna razón se borraron las viñetas ya que se brinca de la pregunta 1 hasta el 4 se supone que en la primer pregunta debiamos de responder la velocidad de la salida del agua por el agujero, y a segunda era el teorema de Bernoulli con la imagen que pusieron. - Guillermo Navarro
Yo creo que he respondido a todo lo que preguntan. - Valero Angel Serrano Mercadal
Es correcto profesor, pero es que estoy viendo la página original donde viene el planteamiento y note que inicia "1. Resuelve el siguiente problema etc..." y ya de ahí viene todo el texto que respondió y después se brinca hasta "4. guarda tu documento como etc..." es por eso que me parece que faltarían 2 instrucciones o por lo menos la indicación que nos permita ver que son 3 preguntas separadas, - Guillermo Navarro
Porque según entiendo en el inicio deberíamos deducir la fórmula y respuesta para calcular la presión hidrostática"A un tinaco de 2.35 m de alto se le hace un pequeño agujero debido al tiempo y la corrosión, este agujero se encuentra justo en la base del tinaco. Deduce la fórmula para calcular la velocidad con que saldrá el chorro de agua por el agujero y calcula." - Guillermo Navarro
Buenas noches una pregunta como encontramos los números para sustituir, no comprendo como se elije como respuesta el incisos b, alguien me podría explicar por favor - Lucero Morales Ramos
Después de hacer todo lo que nos dicen la fórmula se va simplificando, y al final al despejar v_2 en lo que queda, el resultado que da es el que se corrsponde con la respuesta b), las otras dos están mal. Todo el proceso está hecho paso a paso en mi respuesta. - Valero Angel Serrano Mercadal
Respecto a si el enunciado esta completo o incompleto yo no puedo saberlo, cuando escribo esa dirección me piden un nombre de usuario y contraseña que no tengo. - Valero Angel Serrano Mercadal
Muchas gracias por su respuesta, me quedó todo más claro. Saludos - lf hp
muchas gracias Valero Angel eres un genio!! - Mayrena Espinosa