Hallar Determinante en el problema

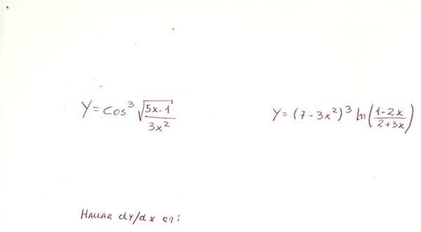
Es un problema matemático sobre Determinantes donde pide hallar dy/dx
1 respuesta
Respuesta de Lucas m

Es un problema matemático sobre Determinantes donde pide hallar dy/dx