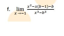
Resolver el siguiente limite paso a paso

Buenas tardes necesito ayuda con este limite para comprobar si lo hice bien
1 respuesta
Respuesta de Lucas m
1