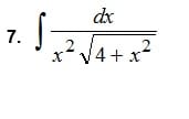
Solucionar la siguiente integral con radical

Les agradezco me ayuden con eta haber si estoy bien
1 Respuesta
Respuesta de Mario Rodríguez
1

NO veo yo tan inmediato el último paso que dices que de 1 se deduce el resultado final. Yo con la practica sé lo que vale el seno o el coseno concbiendo la tangente, pero a un estudiante normal hay que explicárselo, bien sea explicandolo a partir del dibujo que has hecho o con la ecuación mediante la que lo he resuelto yo. - Valero Angel Serrano Mercadal
la palabra concbiendo es conociendo - Valero Angel Serrano Mercadal
La práctica me ha enseñado a no menospreciar la capacidad de deducción del estudiante. Por lo tanto: están dadas las condiciones para explicar la utilidad del gráfico auxiliar si fuese requerido: ¡Veremos!... - Mario Rodríguez
Queda claro que es una cuestión que requiere intercambio con el consultante si fuese requerido: ¿Verdad?... - Mario Rodríguez
No, si está muy bien, si lo entiende el estudiante es más corto y elegante que lo que hice yo que cada vez que lo miro me gusta menos. Yo mismo creo que lo usaré que a veces me lío y no me acuerdo de las fórmulas y tengo que pensar en hacer unitario el vector (x,2) y entonces lo divido por sqrt(4+x^2) y tengo un vector unitario donde la primera componente es el coseno de u y la segunda el seno. Todo es cuestión de lo que está acostumbrado uno, por eso me impactó la forma tan directa como deduciste el valor del seno de u y resolviste la parte final. - Valero Angel Serrano Mercadal
La verdad es que el nivel de conocimientos del estudiante no es similar dentro de una misma región, ni dentro de un mismo país, ni dentro de un mismo continente, ni -mucho menos- internacionalmente hablando.Por ello creo que a la hora de exponer un tema la mejor manera de "sensar" donde estamos parados es "dar lo justo y necesario" y promover el intercambio. En este último punto -me parece- es cuando el intercambio se enriquece. Saludos, Cacho R. - Mario Rodríguez