No puedo resolver ejercicio de derivada

Nuevamente me ayudan con este ejercicio de aplicar teoremas de derivadas:

1 respuesta

Respuesta
2

:

:

¡Hola Josué!

No distingo el exponente de la primera x ¿puedes escribirlo a mano?

Saludos.

:

:

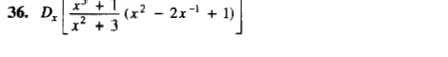
$$\begin{align}&[((x^3 +1)/(x^2+3)) . (x^2-2x^(-1) + 1)]\end{align}$$

Quedaria algo asi.

[((x^3 +1)/(x^2+3)) . (x^2-2x^(-1) + 1)]

En ejercicios como este no se sabe si es peor dejarlo como está o hacer primero la multiplicación, mal de todas formas.

$$\begin{align}&f(x)=\frac{x^3 +1}{x^2+3} · (x^2-2x^{-1} + 1)=\\&\\&\text{operaré primero}\\&\\&=\frac{(x^3+1)(x^2-2x^{-1} + 1)}{x^2+3}=\\&\\&\frac{x^5-2x^2+x^3+x^2-2x^{-1}+1}{x^2+3}=\\&\\&\frac{x^5+x^3-x^2+1-2x^{-1}}{x^2+3}=\\&\\&\text{multiplicaré todo por x tambien}\\&\\&= \frac{x^6+x^4-x^3+x-2}{x^3+3x}\\&\\&\text{Y ahora derivo}\\&\\&f`(x)=\frac{(6x^5+4x^3-3x^2+1)(x^3+3x)-(x^6+x^4-x^3+x-2)(3x^2+3)}{(x^3+3x)^2}=\\&\\&\frac{6x^8+18x^6+4x^6+12x^4-3x^5-9x^3+x^3+3x-3x^8-3x^6-3x^6-3x^4+3x^5+3x^3-3x^3-3x+6x^2+6}{(x^3+3x)^2}=\\&\\&\frac{3x^8+16x^6+9x^4-8x^3+6x^2+6}{(x^3+3x)^2}\end{align}$$

:

:

Añade tu respuesta

Haz clic para o

Más respuestas relacionadas