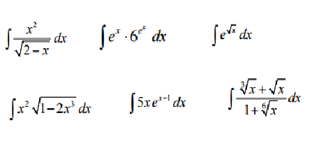
Como podría resolver estas integrales? :)

Hola, espero que me alguien me pueda ayudar a resolver estas integrales, aun que sea solo alguna de ellas.
Muchas gracias :D
2 respuestas
Respuesta de Lucas m
1
Respuesta de Valero Angel Serrano Mercadal
1