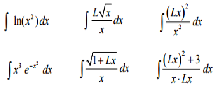
¿Me podríais ayudr con estas integrales? :)
Hola, necesito ayuda para resolver estas integrales que tengo que hacer pero no se si las tengo bien..

Muchas gracias! :D
2 respuestas
Respuesta de Lucas m
1
Respuesta de Valero Angel Serrano Mercadal
1