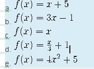
Como saber cual no es una función lineal
Identifique cual de las siguientes expresiones NO corresponde a una función lineal.
Seleccione una:

3 Respuestas
Respuesta de Ninel Sanchez
1
Respuesta de Valero Angel Serrano Mercadal
1
Respuesta de A. Soneira
1