¿El valor de las siguientes integrales?
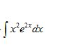
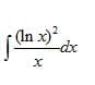
Resolver las siguientes integrales por el método de integración de partes

![]()

![]()


Respuesta de Valero Angel Serrano Mercadal
1
1 respuesta más de otro experto
Respuesta de Lucas m
1