Determine la función que representa los ingresos totales

Podrían ayudarme con este problema? De antemano, gracias!

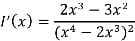
Se determina que una tienda departamental tiene ingresos marginales en el departamento de lencería de acuerdo a la siguiente función:

Donde x representa la cantidad de calzones que vende el departamento de lencería por mes. Determine la función que representa los ingresos totales.

1 respuesta

Respuesta

·

Tenemos la derivada de los ingresos, luego para obtener los ingresos hay que hacer la integral.

$$\begin{align}&I(x) = \int \frac{2x^3-3x^2}{(x^4-2x^3)^2}dx=\\&\\&t=x^4-2x^3\\&\\&dt=(4x^3-6x^2)dx\implies (2x^3-3x^2)=\frac{1}{2}dt\\&\\&=\int \frac 12·\frac{1}{t^2}dt=  \frac 12·\left(-\frac{1}{t}\right)+C=\\&\\&\frac{-1}{2(x^4-2x^3)}+C\\&\\&\text{como no nos dicen nada se supone C=0}\\&\\&I(x)=\frac{-1}{2x^4-4x^3}= \frac{1}{4x^3-2x^4}\end{align}$$

Y eso es todo.

Añade tu respuesta

Haz clic para o

Más respuestas relacionadas