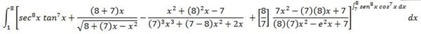
Ayuda para resolver la siguiente integral

Ayuda con la siguiente integral se pueden utilizar cualquier método de integración solo aver si me podrían indicar como hacerlo o como se va de desarrollando la integral.

1 respuesta

Respuesta
1

Puedes decirme de donde ha salido esta integral.

Tal como está es imposible

Al integrar la integral definida que actúa de exponente se tiene una expresión complicada que no voy a escribir y cuyo valor es

0.0017788648091909

Mas o menos.

Con lo cual es imposible integrar lo que queda.

Sin embargo si los límites de la integral del exponente no fuesen 7 y 9 sino 7pi y 8pi esa integral definida valdrá 0 y la integral completa sería

$$\begin{align}&\int_1^8[....]^0dx=\\ &\\ &\int_1^8 dx= x|_1^8 = 8-1=7\end{align}$$

Cuando ponen semejantes integrales que de sobra se sabe que son imposibles de integrar es porque quieren que nos destrocemos mentalmente o porque no en realidad no son imposibles, La única forma sería cuando el exponente fuera entero, pero aun así sería dificilísimo. Y la única opción es que el exponente sea cero, eso sucede si los límites de integración son 7pi y 8 pi. Vamos a demostrar eso

$$\begin{align}&\int_{7\pi}^{8\pi} sen^8x·\cos^7xdx=\\ &\\ &\int_{7\pi}^{8\pi} sen^8x·\cos^6x·cosxdx=\\ &\\ &\int_{7\pi}^{8\pi} sen^8x·(\cos^2x)^3·cosxdx=\\ &\\ &\\ &\int_{7\pi}^{8\pi} sen^8x·(1-sen^2x)^3·cosxdx=\\ &\\ &t=senx\\ &dt=cosxdx\\ &x=7\pi\implies t=0\\ &x=8\pi \implies t=0\\ &\\ &=\int_0^0 t^8(1-t^2)^3dt = 0\end{align}$$

Y eso es todo, espero que quede contestada tu pregunta con la corrección de los límites que hice. Si no se hace el problema solo se puede resolver con aproximación por métodos numéricos y con ordenador por supuesto.

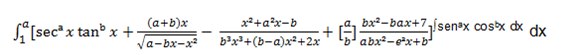
Bien lo que dice el ejercicio completo es lo siguiente

sea a y b dos constantes definidas por:

a=la suma de los dígitos que conforman tu fecha de nacimiento

b=la suma de los dígitos que forman tu edad

entonces quedaría asi:

26 de agosto, seria igual: a=2+6=8

25 años, seria igua: b=2+5=7

entonces

a=8

b=7

sustituir los valores a y b en la integral original antes de empezar a evaluarla:

Nota:

Los limites de integración de la integral a la que esta elevada la integral original son de "a" a "b" por que no aparecen en la imagen

Esto se tiene que resolver mediante los métodos de integración necesarios escribiendo el desarrollo o los métodos utilizados.

Eso es como viene la planteamiento del problema espero i puedas ayudarme

saludos y de antemano gracias.

Como ya te he dicho es imposible. Hay que tener mucho cuidado con el exponente al que se elevan las funciones, si se eleva a un exponente no entero en el 99% de las ocasiones te va a dar una integral imposible de integrar, pero imposible de verdad, no que sea difícil, sino imposible. Hay una extensa teoría sobre las funciones que no tienen primitiva y los exponentes raros y las simples raíces cuadradas originan integrales de ese tipo a la primera de cambio. Las funciones que hay en la base no admiten cualquier exponente y un simple exponente ya haría que se saliesen factores mezcla de función trigonométrica con polinómica que son imposibles de integrar. Luego la única forma de que eso sea integrable es con el exponente 1, que tampoco estoy seguro que lo sea, o con el exponente cero que es el que te he sugerido y al final todo es un gran engaño que se limita a dar a-1.

Si los límites de integración de la integral que hace de exponente no son a·pi y b·pi el resultado es un exponente con el que es imposible hacer la integral.

Ya te dije que para 7 y 8 salia 0.0017788648091909...

Es que es más, ese exponente no es racional, ni siquiera irracional algebraico, es trascendente tal como los números pi y e.

Para limites 3 y 7 valdría 0.017791459849778...

Para límites 1 y 6 vale - 0.1055627453365

Para límites 0 y 9 vale 0.33194197098511

Que como te he dicho hacen imposible hacer la integral.

En algún proceso de la cadena de quien ha difundido este engendro de integral a alguien se le olvidó poner el pi en los límites de integración de integral que hace de exponente. Y si no falta el pi entonces el problema es para resolver con un muy buen programa de ordenador de integración numérica, Matlab, Máxima, Wolfram, etc. nunca para resolver a mano calculando las primitivas.

Y eso es todo.

Añade tu respuesta

Haz clic para o