Incremento de utilidad y elasticidad de la demanda
Primera parte:
De La función de demanda para un producto es

Calcula lo siguiente:
- El cambio en el precio si la cantidad demandada pasa de 5 a 20 unidades.
- La tasa de cambio promedio dadas las condiciones del inciso anterior.
- La elasticidad precio de la demanda cuando el precio es $20
Segunda parte:
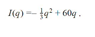
La función de ingreso de su producto está dado por.

Por lo tanto, Determina:
- El cambio en los ingresos cuando la cantidad se incrementa de 30 a 70 unidades.
- El cambio en los ingresos cuando la cantidad disminuye de 150 a 100 unidades.
- La tasa de cambio promedio cuando la cantidad cambia de 50 a 100 unidades.
- La tasa de cambio instantánea cuando q=50
- La cantidad que maximiza el ingreso y el ingreso máximo.
- La función de ingreso marginal.
Tercera parte:
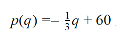
A partir de la función de ingreso del ejercicio anterior, se tiene que la función de demanda es

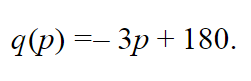
De esta última función despejando q tenemos que

Determina:
- La elasticidad de la demanda cuando el precio es de $40. ¿La demanda es elástica o inelástica?
- Si el precio es de $60, ¿qué tipo de elasticidad presenta la demanda?
2 respuestas
Respuesta de Valero Angel Serrano Mercadal
2
Respuesta de Lucas m
1