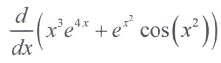
¿Alguien puede derivar el siguiente ejercicio?

Hola que tal pongo esto por acá para que puedan ayudarme saludos!!!

1 respuesta

Respuesta
1

Tienes la suma de 2 funciones.

La primera función:

$$\begin{align}&x^3·e^{4x}\end{align}$$

Para derivar la primera función:

es el primero por la derivada del segundo

$$\begin{align}&x^3 · e^{4x}·4\\&4x^3e^{4x}\end{align}$$

El segundo por la derivada del primero

$$\begin{align}&4x^3e^{4x} + 3x^2e^{4x}\end{align}$$

Sumamos las derivadas

$$\begin{align}&4x^3e^{4x} + 3x^2e^{4x}\end{align}$$

La segunda función:

$$\begin{align}&e^{x^2}·\cos(x^2)\end{align}$$

El primero por la derivada del segundo

$$\begin{align}&e^{x^2}· -2xsenx^2\end{align}$$

El segundo por la derivada del primero

$$\begin{align}&\cos(x^2) · e^{x^2} · 2x\\&ordenamos\\&2xe^{x^2}\cos(x^2)\end{align}$$

sumamos

$$\begin{align}&-2xsenx^2e^{x^2}+ 2xe^{x^2}\cos(x^2)\end{align}$$

Sumamos la derivada de la primera función con la derivada de la segunda función:

$$\begin{align}&4x^3e^{4x} + 3x^2e^{4x} -2xsenx^2e^{x^2}+ 2xe^{x^2}\cos(x^2)\end{align}$$

Saludos.Dante Amor

Añade tu respuesta

Haz clic para o

Más respuestas relacionadas