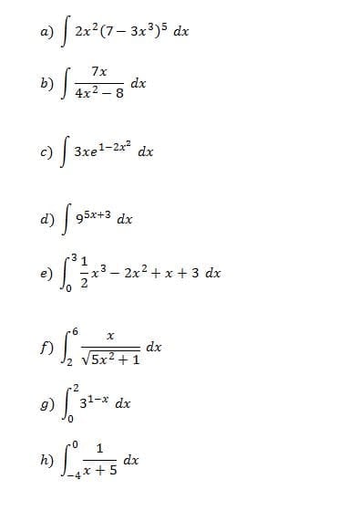
Como se resuelven las Integrales definidas y por sustitución?
Me pueden ayudar con esto por favor, les agradezco mucho.

3 respuestas
Respuesta de Lucas m
3
Respuesta de Valero Angel Serrano Mercadal
3
Respuesta de Heriberto Hernandez
