Actividad pública reciente
Ha valorado "Excelente" la respuesta
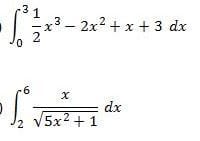
Como se resuelven parte 2 integrales
Ha valorado "Excelente" la respuesta
Como se resuelven las Integrales definidas y por sustitución?
Ha valorado "Excelente" la respuesta
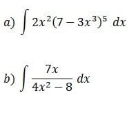
Como se resuelven las integrales por integración y sustitución?
Ha valorado "Excelente" la respuesta
Como puedo determinar utilidad e ingresos máximos?
· ¡Hola Diana! · Los costos serán C(x)=97500 + 25x por lo cual la utilidad es U(x) = I(x) - C(x) = 1320x - x^2 - 97500 - 25x = -x^2 + 1295x - 97500 Y la utilidad de vender 500 libros es U(500) = -500^2 + 1295·500 - 97500 = -250000 + 645000 - 97500 =...
Ha empezado a seguir a
Educación
-
udg
administración , 2015
