¿Cuál es la solución de este tipo de integral?
Aplicar los procedimientos necesarios para determinar la integral.
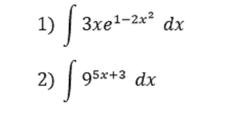
Calcule las siguientes integrales:

1 respuesta
Respuesta de Valero Angel Serrano Mercadal
1