Actividad pública reciente
Ha preguntado en el tema en
Matemáticas
y en 1 temas más
El costo marginal de cierta Pyme está dada por la expresión ?′(?) = 15.7 − 0.002?
Ha preguntado en el tema en
Cálculo
y en 1 temas más
¿Cuánto deberá prolongarse el funcionamiento de la maquinaria?
Ha preguntado en el tema en
Matemáticas
y en 1 temas más
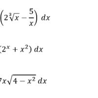
¿Cómo quedan las siguientes integrales?
Ha preguntado en el tema en
Matemáticas
y en 1 temas más
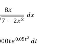
¿Cómo queda resuelta la siguiente integral?
Ha empezado a seguir a
Ha empezado a seguir a
Ha empezado a seguir a
Ha valorado "Excelente" la respuesta
¿Determine la función de ingreso marginal, e indique su valor y lo que representa éste, cuando la cantidad es igual a 24?
Ha valorado "Excelente" la respuesta
¿Determina el cambio de precio que debe haber para que la cantidad demanda aumente de 30 a 50 unidades?
Ha valorado "Excelente" la respuesta
¿Determine la cantidad que permite obtener la utilidad máxima y demás dada las siguientes funciones matemáticas?
¡Hola Jacobo! · 1) Calculamos la función de ingresos. Estos serán el numero de unidades vendidas por el precio de cada una, luego I(q) = q·p(q) = q(600-2q) = 600q - 2q^2 Usamos la fórmula que dicen, aunque bien se podría haber hecho de otra forma...
Ha valorado "Excelente" la respuesta
