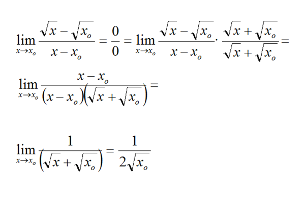
Se agradece de antemano calcular raíz de x-raíz dex0/x-x0 cuando limite----x0
El problema es así...
Calcular sqrtx-sqrtxsubindice0/x-xsubindice0 cuando limx---xsubindice0
1 respuesta
Respuesta de Lucas m
1
