Encontrar plano perpendicular a la recta intersección entre dos planos
Hola,necesito ayuda para con el siguiente ejercicio:
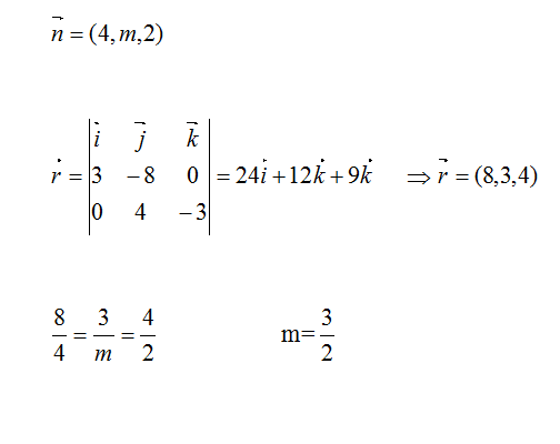
Dados los planos:
π1:3x-8y+13=0
π2:4y-3z+1=0
Hallar los valores de m para que el plano π:4x+my+2z-3=0 sea perpendicular a la recta intersección entre los planos π1 y π2
Saludoa
1 respuesta
Respuesta de Lucas m
1

