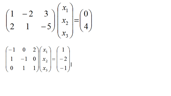
Escribir sistemas de ecuaciones lineales como una ecuación matricial ayuda porfa :z

Solucion por favor escribir los sistemas como ecuacion matricial se agradece siempre.
1 respuesta
Respuesta de Lucas m
1
