Aplicar transformada Z a la ecuación
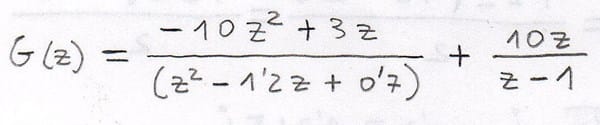
Tengo la siguiente ecuación:

Según el profesor para poder continuar el ejercicio, lo mas cómodo es pasar la z arriba en este punto:

Ahora en teoría debería de aplicar la (TRANSFORMADA Z) que es algo muy parecido a la (TRANSFORMADA DE LAPLACE), mediante la siguientes tablas:


Yo no se como aplicarlo en este ejercicio.
Los pocos ejercicios y mucho mas sencillos que hemos visto en clase, bastaba con aplicar la transformada z y ya esta, pero en este tengo el resultado y no se el como ni el porque pero el resultado se expresa en unos rangos separados de valores de (k), siendo que hasta el momento no ha aparecido ninguna (k) por ningún sitio.
Te agradecería mucho si me pudieras indicar como se resuelve esto y el debido a que, el resultado se expresa asi con esos rangos de (k).
Siento las molestias.

