Preguntas esperando respuesta
Actividad pública reciente
Ha empezado a seguir el tema Cálculo
Ha preguntado en el tema en
Matemáticas
Matrices y geometría (transformación)
Ha valorado "Excelente" la respuesta
Área encerrada en señal cuadrada
Ha valorado "Excelente" la respuesta
Aplicar transformada Z a la ecuación
Ha valorado "Excelente" la respuesta
Descomposición en términos
Ha valorado "Excelente" la respuesta
Sumas y restas en forma polar
Ha preguntado en el tema en
Ciencias e Ingeniería
Problema primer principio termodinámica
Alguien me podría ayudar con este problema?? Acabo de empezar la asignatura de termodinámica y estoy algo perdido. Gracias por anticipado.
Sin respuestas
Ha valorado "Excelente" la respuesta
Ecuación diferencial segundo orden
Ha valorado "Excelente" la respuesta
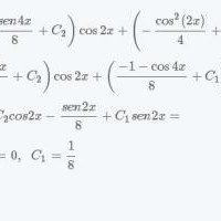
Integral en serie de fourier
Ha valorado "Excelente" la respuesta
