Ayuda con Integrales definidas de dos variables
Hola tengo dudas sobre como resolver este tipo de integrales definidas que son de dos variables
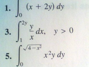
integral con valores que van de 1 a 2y (y/x)dx
espero me puedan ayudar y explicar el procedimiento para resolver este tipo de integrales.
integral con valores que van de 1 a 2y (y/x)dx
espero me puedan ayudar y explicar el procedimiento para resolver este tipo de integrales.
1 respuesta
Respuesta de canalrev
1

