Fisica
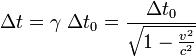
Si la velocidad de la luz fuera infinita que pasaria con las predicciones de la dilacion del tiempo y contraccion del largo
1 respuesta
Respuesta de josefyq
-1


