Yesica Marrero

Yesica Marrero

Estudiante y trabajadora
 España @yesicamarrero desde - visto
Preguntar

Preguntas

Pregunta en

¿Cómo hago el cálculo de una operación en excel?

Necesito ayuda para saber como se hace el cálculo de esa operación, porque no se cómo hacerlo para saber el resultado de esa suma.
Pregunta en

Cuál es la solución de las gráficas?

¿Alguien me podría ayudar y explicar esta tarea? Muchas gracias. Un saludo
Pregunta en

Resolver las siguientes ecuaciones de 2º grado

Indicando previamente el número de soluciones por medio del discriminante.
Pregunta en

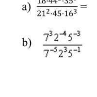
Como puedo resolver esta fracción?

Simplificar las dos fracciones, es urgente gracias, un saludo.
Pregunta en

La caja de madera tiene las siguientes dimensiones: a) ¿Cuántos metros cuadrados de faltarán por pintar?

¿Qué espacio ocupa nuestra caja? Queremos llenarla con 1001 cajas con las siguientes medidas: ¿Cabrán todas las cajas?
Pregunta en

Identifique el nombre de los siguientes cuerpos geométricos:

¿Qué pirámide es la que está en la foto? ¿Y los demás cuerpos geométricos?
Pregunta en

Conteste verdadero o falso razonando su respuesta:

A) Los triángulos A y C, y los triángulos F y G de la siguiente imagen son semejantes (V) (F)
Pregunta en y en 1 temas más

A) ¿Cuál es la altura del edificio?

En la siguiente imagen se muestra que la longitud de la sombra que un edificio proyecta es de 21 metros y que la que proyecta un árbol de 4 metros de altura que se encuentra delante del edificio es de 6 m. En base a estos datos conteste a las preguntas:
Pregunta en

Calcular tarea para clase hacerlo pasó a paso

-6:3-2•(-2-3•5)+7-16:(-3+5)=. Gracias un saludo necesito resolver esta tarea pasó a paso