Como puedo resolver esta fracción?

Simplificar las dos fracciones, es urgente gracias, un saludo.

1 Respuesta

Respuesta

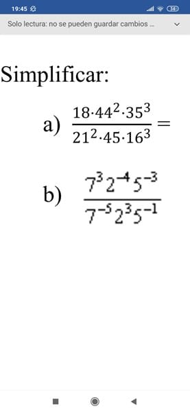
Escribí todos los números como producto de primos (a la potencia que corresponda) y luego fijate lo que puedas simplificar, como ejemplo te dejo el primero para que hagas el otro

$$\begin{align}&a) \frac{18 \cdot 44^2 \cdot 35^3}{21^2\cdot 45 \cdot 16^3}=\\&\frac{2\cdot 3^2 \cdot (2^2 \cdot 11)^2 \cdot (5 \cdot 7)^3}{(3\cdot 7)^2\cdot 3^2 \cdot 5^5 \cdot (2^4)^3}=\\&\frac{2\cdot 3^2 \cdot 2^4 \cdot 11^2 \cdot 5^3 \cdot 7^3}{3^2 \cdot 7^2\cdot 3^2 \cdot 5^5 \cdot 2^{12}}=\\&\frac{2^5\cdot 3^2  \cdot 5^3 \cdot 7^3\cdot  11^2}{2^{12} \cdot 3^4 \cdot 5^5 \cdot  7^2}=\\&\frac{  7\cdot  11^2}{2^{7} \cdot 3^2 \cdot 5^2 }\\&\text{Hasta ahí podés llegar con la simplificación, ahora quedarían las cuentas...}\\&\frac{7\cdot 121}{128 \cdot 9 \cdot 25}=\frac{847}{28800}\\&\end{align}$$

Salu2

¡Gracias! 

Tengo que poner todo eso que me enviaste por la foto para simplificar entonces tengo que poner todo 

Yo te hice absolutamente todos los pasos, depende tu profesor y tu grado de comprensión, podrás evitar algunos

Añade tu respuesta

Haz clic para o

Más respuestas relacionadas