Preguntas esperando respuesta
Actividad pública reciente
                    Ha preguntado en el tema   en 
    Software y aplicaciones
            
                y en 1  temas más
            
                
                
            Alguien que me enseñe a utilizar COMSOL para sistema de puesta a tierra
            Quiero aprender a simular la resistencia de puesta a tierra en COMSOL ... Con elementos finitos...
        
    
        
                    Ha preguntado en el tema   en 
    Python
            
                y en 1  temas más
            
                
                
            Crear fórmula en python de ecuaciones diferenciales
            Tengo dos fórmulas de un articulo en la que quiero pasarlo a python, pero no se como crear el programa o código para poder implementarlo. Adjunto imágenes de la fórmula . No puedo adjuntar imágenes no se porque... Dejo mi correo :...
        
    
        
                    Ha preguntado en el tema   en 
    Ingeniería Electrónica
            
                y en 3  temas más
            
                
                
            Calcular la resistencia de puesta a tierra de una línea de transmisión
            Como puedo calcular la resistencia de puesta a tierra de una línea de trasmisión mediante el método de elemento finito, la tensión de toque y paso. Si tuvieran un articulo sobre esta teoría de elemento finitos para hallar estos parámetros
        
    
        
                    Ha valorado "Buena" la respuesta
                
                
            Como graficar una curva nariz en excel
                
                        I. Hola Willian, aunque sólo soy usuario habitual, deseaba trasladarle la información que vi sobre esta incidencia por si pudiese serle de utilidad mientras le atiende una persona con formación de Excel de las varias existentes en la comunidad. Le...
        
    
        
                    Ha preguntado en el tema   en 
    Ingeniería Eléctrica
            
                y en 1  temas más
            
                
                
            Medición entre fase y tierra en un tablero eléctrico general.
            Te go una duda, respecto a la medición entre fase y tierra, lo que pasa es lo siguiente. Fase R + tierra = 220v Fase S + tierra =0.5 V Fase T +tierra = 220v Hize la medicion en laayoria de los tableros generales ye esta midiendo lo mismo. Que puede...
        
    
        
                    Ha preguntado en el tema   en 
    Microsoft Excel
            
                y en 3  temas más
            
                
                
            3 combo box dependientes excel vba
            Como puedo enlazar 3 combobox dependientes uno del otro con el siguiente criterio. Tengo en la hoja 1 una lista de "equipos", en la hoja 2 una lista de "marca" de esos equipos, y en la hoja 3 una lista de el "estado" de esos equipos. Como puedo hacer...
        
    
        
                Sin respuestas
    
            
        
                    Ha valorado "Excelente" la respuesta
                
                
            3 combo box dependientes excel vba con imagen
                
                        Visita: Cursos de Excel y Macros - YouTube Revisa estas respuestas: 4 combobox dependientes en un formulario de VBA en EXCEl línea de actividad, causa de línea y actividad, subcausa de causa. Programar 8 Combobox dependientes en un Formulario VBA...
        
    
        
                    Ha preguntado en el tema   en 
    Ingeniería Eléctrica
            
                y en 1  temas más
            
                
                
            Calculo de la potencia para grupo electrógeno trifásico
            He tenido alguna dudas respecto al calculo de potencia para un grupo electrógeno y quisiera saber si hay una norma dónde se establezcan los lineamientos, pautas, fórmulas, yo soy de Perú y aquí trabajan aplicando la norma IEC, pero no encuentro o no...
        
    
        
                Sin respuestas
    
            
        
                    Ha valorado "Excelente" la respuesta
                
                
            Código de Excel vba para combobox
                
                        Encontrarás varios modelos (con o sin macro) en los videos 7 y 8 de mi canal.
        
    
        
                    Voto positivo a la respuesta
                
                
            Multimetro UNIT-T UT204 que bateria usa
                
                        Pero si no se abrochan, podrán montarse a presión frente a cada contacto fijo que debe traer el instrumentoy que suelen ser dos lengüetas con la polaridad indicada. Ademas ese tipo de batería ni es cara ni es especial. Lastima comprar ese tipo de...
        
    
        
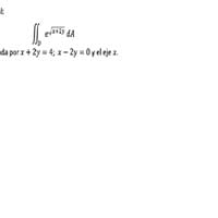
                    Ha preguntado en el tema   en 
    Matemáticas
            
                y en 2  temas más
            
                
                
            Como se resuelve la siguiente integral doble
 Tengo la siguiente integral y quería saber como se puede solucionar y para que me sirve en la vida real.
                
            Tengo la siguiente integral y quería saber como se puede solucionar y para que me sirve en la vida real.
        
        
                Sin respuestas
    
            
        




Cuanto mide fase con tierra en una trifásica de 220v