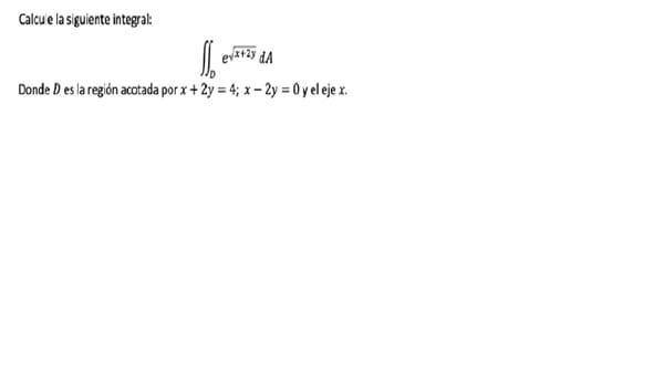
Como se resuelve la siguiente integral doble

Tengo la siguiente integral y quería saber como se puede solucionar y para que me sirve en la vida real.

Tengo la siguiente integral y quería saber como se puede solucionar y para que me sirve en la vida real.