Pregunta en
Matemáticas
Matrices y geometría (transformación)
Pregunta en
Matemáticas
Área encerrada en señal cuadrada
Pregunta en
Matemáticas
Aplicar transformada Z a la ecuación
Pregunta en
Matemáticas
Descomposición en términos
Pregunta en
Matemáticas
Sumas y restas en forma polar
Pregunta en
Ciencias e Ingeniería
Problema primer principio termodinámica
Alguien me podría ayudar con este problema?? Acabo de empezar la asignatura de termodinámica y estoy algo perdido. Gracias por anticipado.
Sin respuestas
Pregunta en
Matemáticas
y en 1 temas más
Ecuación diferencial segundo orden
Pregunta en
Matemáticas
y en 1 temas más
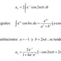
Integral en serie de fourier
Pregunta en
Matemáticas
Estadística distribuciones discretas
Pregunta en
Matemáticas
