Descomposición en términos
Hola, esta pregunta me imagino que debe de ser muy fácil para alguien que tenga claro como se descomponen los términos trabajando con números complejos.
Tengo un problema que hemos empezado a plantear en clase pero no se terminarlo.
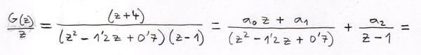
Tengo la siguiente ecuación, ya se que lo normal seria trabajar con g(z) pero en este caso tengo g(z)/z porque a partir del resultado que no se hallar habría que hacer una (transformada z) que es alfo muy parecido a la (transformada de laplace), pero eso no me interesa por ahora.
En clase hemos llegado hasta aquí: (se ha dicho que el mejor procedimiento era no descomponer el polinomio):

Con esto yo supongo que seguir el procedimiento de la siguiente forma:

Ahora lo que quiero es saber los valores de (a0) , (a1) , (a2).
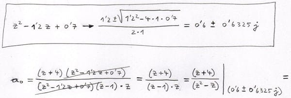
Para ello resuelvo el polinomio, y empiezo ha hallar el valor de (a0):
Llegado a este punto tengo las dudas y no se como continuar.
Si para substituir el valor z utilizo el valor del resultado imaginario del polinomio, como lo hago?? No se si puedo sacar (a0) de esta forma porque en la z tengo la posibilidad de substituir el numero en positivo y en negativo, es decir, que tengo dos números. Que hago?
Si algo de lo que yo he hecho o desarrollado esta mal te agradecería, que me comentaras donde hay fallos, o como podría continuar a partir de aquí.
Siento las molestias.
Un saludo.
Gracias.